线性回归算法

本文最后更新于:2025年12月14日 晚上

线性回归算法

推导

image-20230227081749262
$$
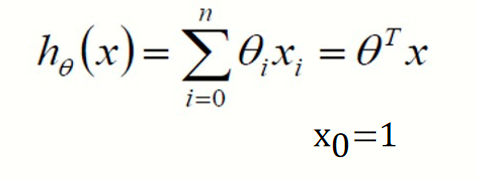
h_{\theta}(x)=\sum_{i=0}^{n}\theta_{i}x_{i} = \theta^{T}x
$$

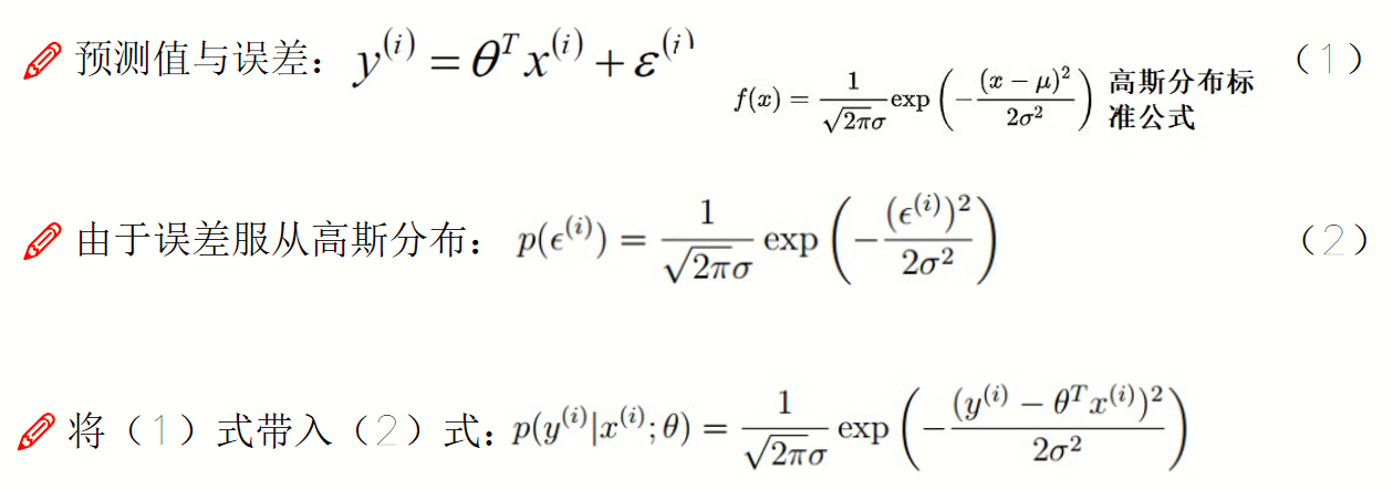
误差

image-20230227082419902

image-20230227083626427

似然函数

样本数 * 单个样本误差

image-20230227085712494

对数似然

两边取对数,化简

image-20230227090806923

偏导求极小值

image-20230227092357871

评估方法

image-20230227092708283


线性回归算法
https://yorick-ryu.github.io/AI/线性回归算法/
作者
Yorick
发布于
2023年2月13日
许可协议