逻辑回归

本文最后更新于:2025年12月14日 晚上

逻辑回归

解决回归问题,经典的二分类算法

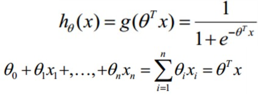
Sigmoid函数

预测函数

image-20230227105813579

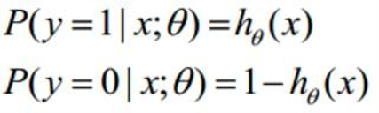
分类

image-20230227110121845

整合

image-20230227110132108

解释:对于二分类任务(0,1),整合后y取0只保留后者 y取1只保留前者

似然函数

似然函数:什么样的参数跟我们的数据组合后恰好是真实值

image-20230227110407600

对数似然

image-20230227110425104

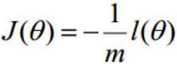
似然函数求最大值(难求),引入

image-20230227110521299

转换为梯度下降任务。m为样本个数,似然函数要考虑每一个样本的概率。

求导


逻辑回归
https://yorick-ryu.github.io/AI/逻辑回归/
作者
Yorick
发布于
2023年2月27日
许可协议